
요즘 한 일
1. Airbnb 클론 코딩 시작하기
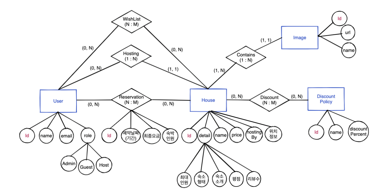
이번 팀원인 Lucid 와 함께 모델링 부터 시작하게 되었다.
서로 생각하는 부분이 비슷하여, 큰 마찰 없이 금방 도메인 모델링을 끝낼 수 있었다..
다만 둘다 모델링에 익숙하지는 않기에 조금은... 부족한 부분이 많은것 같다. 이점은 구현을 진행해 나가면서 해결하기로 했다.

부족한 점이 많지만, 루시드의 도움으로 잘 풀어간 것 같다?
2. 구현중 고민거리들
1. User의 검색 조건을 어떻게 유지할 것 인가?
User는 다음과 같은 흐름으로 방을 검색해 나간다.
위치 -> 날짜 -> 가격 -> 인원수 -(필터링)-> 검색조건
위 과정마다에서 축적된 검색 조검을 누가 유지하고 있어야 할까?
만약 가격까지 조건을 지정하다가 다른곳으로 잠시 이동하면
그동안 누적된 위치, 날짜, 가격 조건을 누가 저장하고 있어야 하는가? 에 대한 의문이 들었다.
=> 임시 해결책 : 사용자의 Session을 만들어 저장시켜 두기
2. 위치 정보는?
User의 위치 정보를 어떻게 저쟝해야 할까?
처음에는 주소로 address를 만들까 했지만, => 위도, 경도 로 저장 하기로 변경.
3. 공유하기 기능?
공유하기로 뭘 공유해줘야 하는가?
방 세부 정보에 접근하는 API 요청 링크이면 될까?
문제가 되는게, 만약 상대방이 우리의 APP이 설치되어 있지 않다면 어떻게 해야 하는가?
3. VPC 복습하기
호눅스의 강의와 예전에 읽었던 AWS 기초 책을 살펴보면서 그간 기억에서 사라진 VPC 와 subnet에 대한 개념들을 복습하였다.
이번 정규 수업 시간에서의 강의 내용이 매우 좋았어서, 따로 녹화 영상을 한번더 청취하였다.
확실히 다시 들으니 중간 중간 배울점들이 더 잘 보이게 되었다.
4. Page 처리 복습하기
간만에 또 JPA로 페이징 쿼리를 날리려 하니 생각이 한번에 나지 않았다.
Spring Data JPA가 분명 매우 편하게 해줬던것은 기억이 나는데....
강의 요약본을 오늘부터 조금씩 복습하기 시작했다.
👍 Good
루시드와의 협업 프로젝트 시작이 좋다.
정말 좋음 팀원이신게 순간순간 느껴진다. 루시드랑 오래오래 연락하고 지내고 싶다!!
👎 Bad
요즘 오전에 좀 일을 도와줘야하는게 있는데... 이게 처음에는 간단해서 도와줬는데...
시간이 지나니 사람이 많아져서.... 아..... 지치는것 같다.. 코드스쿼드 과제도 해야 하는데...
이해해주시는 루시드에게 정말 감사함을 느낀다.
'CODE SQUAD > 회고록' 카테고리의 다른 글
| [TIL] 일일 회고 2022/06/08 (0) | 2022.06.08 |
|---|---|
| [TIL] 일일 회고 2022/06/03 (0) | 2022.06.03 |
| [TIL] 일일 회고 2022/05/22 (0) | 2022.05.22 |
| [TIL] 일일 회고 2022/05/19 (0) | 2022.05.19 |
| [TIL] 일일 회고 2022/05/17 (0) | 2022.05.17 |
댓글